Jona’s blog
Jona’s blog
Categories
All
(8)
arduino
(1)
kicad
(1)
pcb
(1)
pharmacometrics
(4)
rf
(1)
tci
(4)
unix
(3)
TCI Eigendecomposition
pharmacometrics
tci
I recently read the excellent document written by Charles Minto titled “From Eigenvalues to Plasma Coefficients”. In this document, Charles explains how to derive STANPUMP’s…
Mar 4, 2026
Jona Joachim
TCI - caught in the inner loop
pharmacometrics
tci
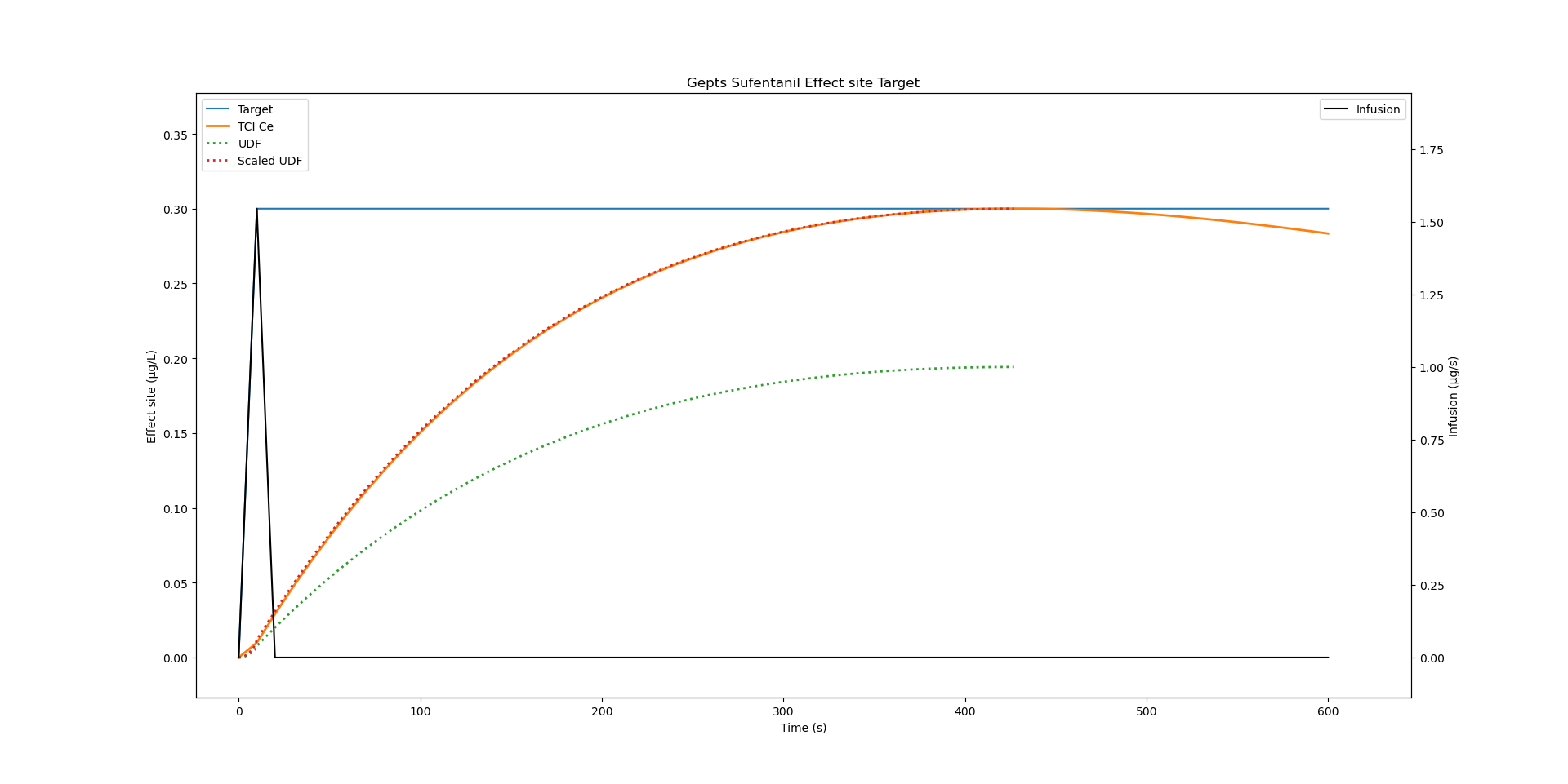
The unit disposition function (UDF), as explained in our previous blog post, shows the PKPD system response to a unit infusion. This response is an important characteristic…
Feb 16, 2026
Jona Joachim
Unit Disposition Functions and the TCI algorithm
pharmacometrics
tci
In my previous blog post, I took a deep dive into STANPUMP’s source code to understand the underlying logic for Target-Controlled Infusion (TCI) and reimplemented a minimal…
Feb 11, 2026
Jona Joachim
Deep dive into STANPUMP
pharmacometrics
tci
Target Controlled Infusion (TCI) is a technique that uses real-time algorithms to control drug infusions. The goal is to quickly and safely achieve the desired drug…
Aug 24, 2025
Jona Joachim
RFLink 433 MHz RF Gateway
rf
arduino
pcb
kicad
In this blog post I would like to share my custom RFLink gateway built on top of the RobotDyn Mega 2560 PRO board. You can see the Mega 2560 PRO as an Arduino Mega clone…
Nov 29, 2019
Jona
Using the Nokia 6510 GSM modem over IrDA
unix
So it looks like everybody has a smartphone nowadays, however I still use my Nokia 6510 on a daily basis. Like many phones back then, it has an IrDA (Infrared Data…
Feb 7, 2011
Jona JOACHIM
Neo Freerunner GPS as OpenBSD timedelta sensor
unix
I recently discovered the nmea(4) serial line discipline in OpenBSD which was written by Marc Balmer in 2008. This is a driver that can be attached to a serial device and…
Apr 26, 2010
Jona JOACHIM
xterm, zsh, spawn-new-terminal, *BSD
unix
xterm defines a very convenient action called spawn-new-terminal(). Using that action you can duplicate your current terminal and obtain a shell in your current working…
Feb 10, 2010
Jona JOACHIM
No matching items